固話:400-8596-525
手機:15000546345
郵箱:15000546345@163.com
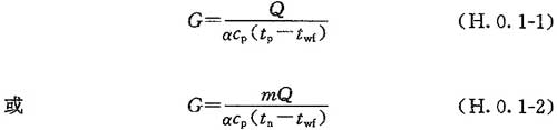
地址:上海市沈磚公路5666號臨港科技城B-6FH.0.1 自然通風的通風量應按下列公式計算:
式中:G——自然通風的通風量(kg/h);
Q——散至室內的全部顯熱量(W);
cp——空氣的定壓比熱容,取1[kJ/(kg·℃)];
α——單位換算系數,對于法定計量單位,取0.28;
tp——排風溫度(℃),按本規范第H.0.2條確定;
tn——室內工作地點溫度(℃),按本規范第4.1.4條確定;
twf——夏季通風室外計算溫度(℃),按本規范第4.2.7條確定;
m——散熱量有效系數,按本規范第H.0.3條確定。
H.0.2 排風口溫度應根據不同情況,分別按下列規定采用:
1 有條件時,可按與夏季通風室外計算溫度的允許溫差確定;
2 室內散熱量比較均勻,且不大于116W/m3時,可按下式計算:
式中:△tH——溫度梯度(℃/m),按表H.0.2采用;
H——排風口中心距地面的高度(m)。
表H.0.2 溫度梯度△tH值(℃/m)
3 當采用m值時,可按下式計算:
H.0.3 散熱量有效系數m值宜按相同建筑物和工藝布置的實測數據采用,當無實測數據時,單跨生產廠房可按下式計算:
式中:m1——根據熱源占地面積f和地面面積F的比值,按圖H.0.3確定的系數;
m2——根據熱源的高度,按表H.0.3-1確定的系數;
m3——根據熱源的輻射散熱量Qf和總散熱量Q的比值,按表H.0.3-2確定的系數。

圖H.0.3 系數m1
表H.0.3-1 系數m2

表H.0.3-2 系數m3
H.0.4 進風口和排風口的面積應按下列公式計算:
式中:Fj、Fp——分別為進風口和排風口面積(m2);
Gj、Gp——分別為進風量和排風量(kg/h);
hj、hp——分別為進風口和排風口中心與中和界的高差(m);
ρwf——夏季通風室外計算溫度下的空氣密度(kg/m3);
ρp——排風溫度下的空氣密度(kg/m3);
ρnp——室內空氣的平均密度(kg/m3),按作業地帶和排風口處空氣密度的平均值采用;
ξj、ξp——分別為進風口和排風口的局部阻力系數;
g——重力加速度(取9.81m/s2)。
在凈化車間中,風管風速的選擇不僅關系到系統的運行效率,也直接影響著噪音水平。為確保系統噪音在可接受的范圍內(通常為40~
高效過濾器(HEPA)是凈化車間裝修工程必不可少重要組件,它能夠有效捕捉和過濾空氣中的微粒物,保證潔凈空間內的空
食品廠無塵車間的溫濕度控制對于確保食品質量和安全性至關重要。食品廠無塵車間的溫濕度通常要根據具體的食品加工工藝和產品要求
交叉污染是潔凈室中的一大隱患,它可能由多種因素引起,例如人員活動、物料傳遞、設備清洗和消毒等。為了防止潔凈室的交叉污染,